稻米垩白是指稻米胚乳中不透明、疏松的白色部分,为胚乳中淀粉和蛋白质颗粒填塞疏松,存在空隙引起透光性改变所致。稻米垩白的有无,垩白米粒的多少,垩白面积的大小直接影响稻米的外观、加工和蒸煮食味品质。因此,深入解析稻米垩白的形成机制及其对稻米理化特性的影响具有重要意义。近日,实验室党委书记任万军教授团队最新的研究成果“Appearance, components, pasting, and thermal characteristics of chalky grains of rice varieties with varying protein content”在线发表在国际农林科学主流学术刊物《Food Chemistry》(中科院一区TOP期刊,IF=8.80)之上,为揭示稻米垩白对稻米理化特性的影响机制提供了新视角。
围绕稻米垩白的形成前人以淀粉为核心开展了大量卓有成效的研究工作。一般认为籽粒灌浆过程中,胚乳淀粉合成积累异常,致使淀粉体发育不良,淀粉颗粒间间隙增大是导致稻米垩白增加的主要原因,也是致使稻米品质变劣的关键所在。针对弱光稻区稻米垩白的形成特征,课题组前期已从胚乳淀粉合成和淀粉精细结构角度开展了较为系统的研究(Deng et al., 2018; Deng et al., 2021; Li et al., 2022),并构建了以“减穴稳苗配置群体,肥水一体优化株型”为核心的弱光稻区水稻健康群体塑造技术(陶友凤等, 2021;Deng et al., 2022; Li et al., 2023),有力支撑了四川盆地稻米品质的提升。
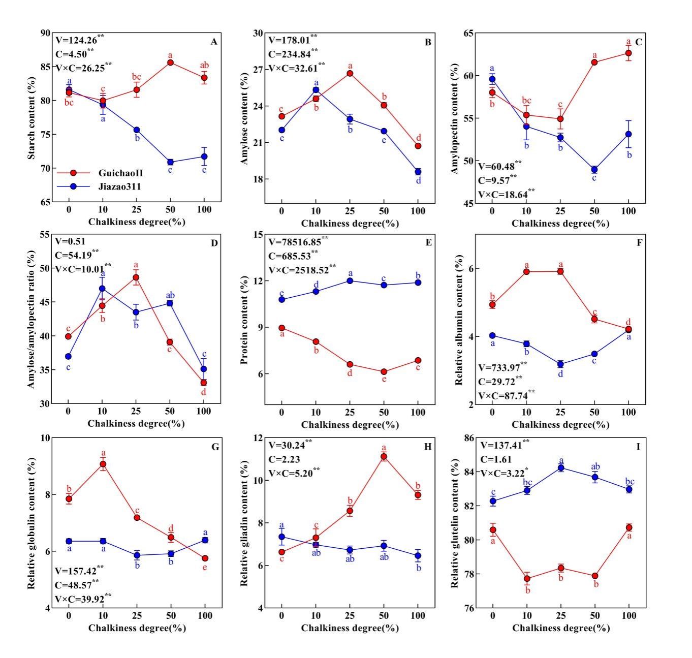
仅次于淀粉,蛋白质是稻米的第二大组分,显著影响稻米品质的形成。然而,蛋白质含量与稻米垩白的关系,及其对稻米理化特性的影响仍有待进一步研究。基于此,本研究以桂朝II号(低蛋白质含量品种)和嘉早311(高蛋白质含量品种)的不同垩白稻米(垩白度分别为0、10、25、50和100%)为研究对象,分析了不同垩白米的外观、组分、糊化特性和热特性变化规律。
研究结果表明,随稻米垩白度的增加,两品种整精米粒长、粒宽和粒重均呈先增后降趋势,稻米白度则显著增加。但不同垩白度稻米组分的变化在品种间存在显著差异。桂朝II号总淀粉、清蛋白、球蛋白和醇溶蛋白含量随垩白度的增加先增后降,蛋白质和谷蛋白含量呈先降后升趋势(图1)。嘉早311稻米总淀粉、蛋白质及蛋白质组分的变化规律则与桂朝II号呈相反趋势。这导致两品种糊化特性和热特性随垩白度增加的差异变化。进一步相关分析表明,较稻米直链淀粉含量,蛋白质含量对桂朝II号热特性和嘉早311糊化特性具有更大的影响(图2)。可见,垩白对稻米理化特性的影响与蛋白质含量密切相关,在系统揭示蛋白质在稻米垩白形成中的潜在作用的同时,应进一步通过合理的栽培技术调控稻米蛋白质的合成积累,确保稻米品质的提升。

图1 不同垩白度稻米淀粉和蛋白质含量及其组分的变化

图2不同蛋白质含量水稻品种(A:桂朝II号,B:嘉早311)稻米糊化特性和热特性与稻米外观和组分的相关性
本文以2020级硕士研究生何辰延和邓飞副教授为共同第一作者,邓飞副教授和任万军教授为共同通讯作者。该研究获国家自然科学基金、国家重点研发计划和西南作物基因资源发掘与利用国家重点实验室自由探索项目的资助。
全文链接:https://doi.org/10.1016/j.foodchem.2023.138256
参考文献:
Deng, F., Wang, L., Pu, S.L., Mei, X.F., Li, S.X., Li, Q.P., Ren, W.J., 2018. Shading stress increases chalkiness by postponing caryopsis development and disturbing starch characteristics of rice grains. Agricultural and Forest Meteorology. 263, 49-58.
Deng, F., Li, Q.P., Chen, H., Zeng, Y.L., Li, B., Zhong, X.Y., Wang, L., Ren, W.J., 2021. Relationship between chalkiness and the structural and thermal properties of rice starch after shading during grain-filling stage. Carbohydrate Polymers. 252, 117212.
Li, Q.P., Deng, F., Zeng, Y.L., Li, B., He, C.Y., Zhu, Y.Y., Zhou, X., Zhang, Z.N., Wang, L., Tao, Y.F., Zhang, Y., Zhou, W., Cheng, H., Chen, Y., Lei, X.L., Ren, W.J., 2022. Low light stress increases chalkiness by disturbing starch synthesis and grain filling of rice. International Journal of Molecular Sciences. 23 (9153), 9153.
Deng, F., Li, B., Yuan, Y.J., He, C.Y., Zhou, X., Li, Q.P., Zhu, Y.Y., Huang, X.F., He, Y.X., Ai, X.F., Tao, Y.F., Zhou, W., Wang, L., Cheng, H., Chen, Y., Wang, M.T., Ren, W.J., 2022. Increasing the number of seedlings per hill with reduced number of hills improves rice grain quality by optimizing canopy structure and light utilization under shading stress. Field Crops Research. 287, 108668.
Li, Z.Z., Deng, F., Zhu, L., Tang, L., Zhou, T., Lu, H., Xia, H.X., Zhong, X.Y., Wang, L., Tao, Y.F., Zhou, W., Lei, X.L., Chen, Y., Hu, J.F., Ren, W.J., 2023. Fewer hills with more seedlings improved lodging resistance of whole hill and yield stability of machine‐transplanted rice. Agronomy Journal. 115 (2), 620-634.
陶有凤,蒲石林,周伟,邓飞,钟晓媛,秦琴,任万军, 2021.西南弱光地区机插杂交籼稻“减穴稳苗”栽培的群体冠层质量特征.中国农业科学,54 (23), 4969-4983.