合成肥料,特别是氮肥的施用是确保水稻丰产的关键栽培措施之一。然而,氮肥的不合理施用往往导致水稻肥料利用效率低下,并加剧了农业生产对环境的不利影响。因此,在确保水稻高产稳产的同时,进一步提高氮肥的利用效率一直是国内外研究的重点。
聚天门冬氨酸同源多肽是一种水溶性多肽化合物,无毒性,可生物降解,属于环境友好型产品。因其分子链上大量自由羧基和酰胺基团,多肽常用作养分吸收促进剂在作物生产中进行应用。围绕多肽尿素在水稻上的应用,任万军教授团队前期从水稻地上部入手,通过对水稻叶片光合、物质积累转运,以及氮素吸收利用等特性等分析,明确了多肽尿素提高水稻产量和氮素利用效率的效果和一些农艺生理机制(Deng et al., 2014; Deng et al., 2015; Deng et al., 2016),发明了水稻无人机专用高效肥及其配套的无人机精准施肥方法(ZL 202210809031.6),进一步构建了以氮高效品种为基础,多肽尿素等增效肥料和“基地追空”施肥机械为保障,“前期减量、后移攻中”施肥为关键运筹的水稻高质量群体养分高效管理技术。
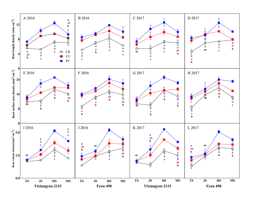
近日,任万军教授团队又一研究成果“Polypeptide urea increases rice yield and nitrogen use efficiency through root growth improvement”在线发表在国际农林科学主流学术刊物Field Crops Research(中科院一区TOP期刊)上。论文研究明确了多肽尿素对水稻根系生长的促进作用,从根系角度揭示了多肽尿素对水稻产量和氮素利用率的调控效应。研究结果表明,较普通尿素,多肽尿素可有效促进水稻根系的生长,显著提高拔节后水稻的根干物质量、根长密度、根体积密度和根表面积密度,进而改善水稻对氮素营养的吸收和积累,提升水稻的生物量,在确保水稻产量稳步提高的同时,大幅提升氮肥利用效率。可为以多肽尿素为代表的新型增效氮肥的推广应用,提供理论支撑。

图1 多肽尿素对水稻根系性状的影响
该文以2018届硕士生廖爽(目前在绵阳市农业科学研究院水稻研究所工作)和邓飞副教授为共同第一作者,任万军教授为通讯作者。文章得到国家自然科学基金和四川省科技支撑计划等项目的支持。